Упр.7.54 ГДЗ Дорофеев Суворова 7 класс (Алгебра)
Решение #1

Рассмотрим вариант решения задания из учебника Дорофеев, Суворова, Бунимович 7 класс, Просвещение:
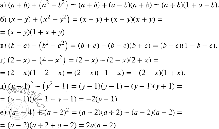
Разложите на множители:
а) (а + b) + (а2 - b2);
б) (х - у) + (х2 - у2);
в) (b + с) - (b2 - с2);
г) (2 - х) - (4 - х2);
д) (у - 1)2 - (у2 - 1);
е) (а2 - 4) + (а - 2)2.
Популярные решебники 7 класс Все решебники
*К сожалению, временные проблемы с публикацией комментариев с мобильных устройств.