Упр.7.46 ГДЗ Дорофеев Суворова 7 класс (Алгебра)
Решение #1

Рассмотрим вариант решения задания из учебника Дорофеев, Суворова, Бунимович 7 класс, Просвещение:
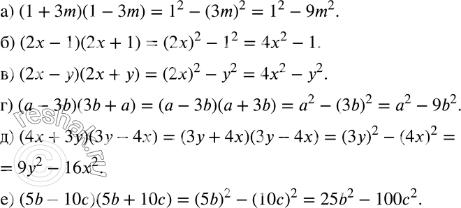
а) (1 + 3m)(1 - 3m);
б) (2x - 1)(2x + 1);
в) (2x - у)(2х + у);
г) (а - 3b)(3b + а);
д) (4x + 3у)(3у - 4х);
е) (5b - 10с)(5b + 10с).
Популярные решебники 7 класс Все решебники
*К сожалению, временные проблемы с публикацией комментариев с мобильных устройств.