Упр.7.53 ГДЗ Дорофеев Суворова 7 класс (Алгебра)
Решение #1

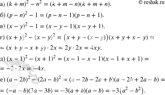
Рассмотрим вариант решения задания из учебника Дорофеев, Суворова, Бунимович 7 класс, Просвещение:
Представьте в виде произведения:
а) (k + m)2 - n2;
б) (р - n)2 - 1;
в) (х - у)2 - 1;
г) (x + у)2 - (х - у)2;
д) (х - 1)2 - (х + 1)2;
е) (а - 2b)2 - (2а - b)2.
Популярные решебники 7 класс Все решебники
*К сожалению, временные проблемы с публикацией комментариев с мобильных устройств.