Упр.7.48 ГДЗ Дорофеев Суворова 7 класс (Алгебра)
Решение #1

Рассмотрим вариант решения задания из учебника Дорофеев, Суворова, Бунимович 7 класс, Просвещение:
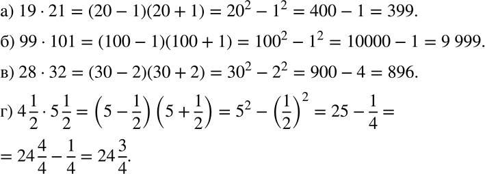
Применяем алгебру Вычислите, используя формулу
(а - b)(a + b) = a2 - b2:
а) 19 * 21;
б) 99 * 101;
в) 28 * 32;
г) 4*1/2 * 5*1/2.
Образец.
49 * 51 = (50 - 1)(50 + 1) = 50^2- 1 = 2500 - 1 = 2499.
Популярные решебники 7 класс Все решебники
*К сожалению, временные проблемы с публикацией комментариев с мобильных устройств.