Упр.7.44 ГДЗ Дорофеев Суворова 7 класс (Алгебра)
Решение #1

Рассмотрим вариант решения задания из учебника Дорофеев, Суворова, Бунимович 7 класс, Просвещение:
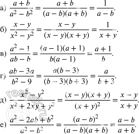
Сократите дробь:
а) (a+b)/(a2-b2);
б) (x-y)/(x2-y2);
в) (a2-1)/(ab-b);
г) (ab-3a)/(b2-9);
д) (x2-y2)/(x2+2xy+y2);
е) (a2-2ab+b2)/(a2-b2).
Популярные решебники 7 класс Все решебники
*К сожалению, временные проблемы с публикацией комментариев с мобильных устройств.