Упр.7.47 ГДЗ Дорофеев Суворова 7 класс (Алгебра)
Решение #1

Рассмотрим вариант решения задания из учебника Дорофеев, Суворова, Бунимович 7 класс, Просвещение:
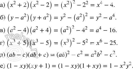
а) (x2 + 2)(x2 - 2);
б) (у - а2)(у + а2);
в) (а2 - 4)(а2 + 4);
г) (х3 + 5)(x3 - 5);
д) (ab - c)(ab + с);
е) (1 - ху)(ху + 1).
Популярные решебники 7 класс Все решебники
*К сожалению, временные проблемы с публикацией комментариев с мобильных устройств.