Упр.6.126 ГДЗ Дорофеев Суворова 7 класс (Алгебра)
Решение #1

Рассмотрим вариант решения задания из учебника Дорофеев, Суворова, Бунимович 7 класс, Просвещение:
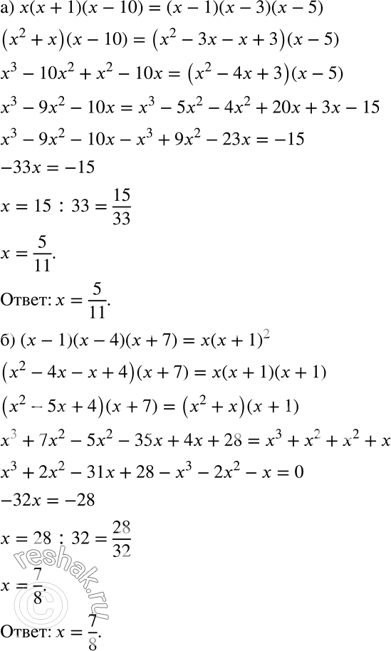
Решите уравнение:
а) x(x + 1)(x - 10) = (x - 1)(x - 3)(x - 5);
б) (х - 1)(х - 4)(x + 7) = x(x + 1)2.
Популярные решебники 7 класс Все решебники
*К сожалению, временные проблемы с публикацией комментариев с мобильных устройств.