Упр.6.124 ГДЗ Дорофеев Суворова 7 класс (Алгебра)
Решение #1

Рассмотрим вариант решения задания из учебника Дорофеев, Суворова, Бунимович 7 класс, Просвещение:
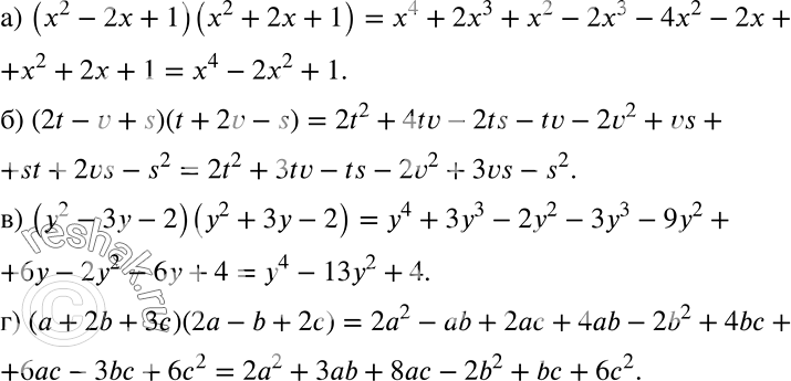
Выполните умножение:
а) (х2 - 2х + 1)(x2 + 2х + 1);
б) (2t - v + s)(t + 2v - s);
в) (у2 - 3у - 2)(у2 + 3у - 2);
г) (а + 2b + 3с)(2а - b + 2с).
Популярные решебники 7 класс Все решебники
*К сожалению, временные проблемы с публикацией комментариев с мобильных устройств.