Упр.6.121 ГДЗ Дорофеев Суворова 7 класс (Алгебра)
Решение #1

Рассмотрим вариант решения задания из учебника Дорофеев, Суворова, Бунимович 7 класс, Просвещение:
Упростите выражение:
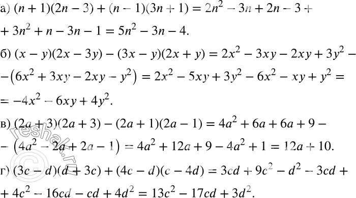
а) (n + 1)(2n - 3) + (n - 1)(3n + 1);
б) (х - у)(2х - 3у) - (3х - у)(2х + у);
в) (2а + 3)(2а + 3) - (2а + 1)(2а - 1);
г) (3с - d)(d + Зс) + (4с - d)(c - 4d).
Популярные решебники 7 класс Все решебники
*К сожалению, временные проблемы с публикацией комментариев с мобильных устройств.