Упр.6.132 ГДЗ Дорофеев Суворова 7 класс (Алгебра)
Решение #1

Рассмотрим вариант решения задания из учебника Дорофеев, Суворова, Бунимович 7 класс, Просвещение:
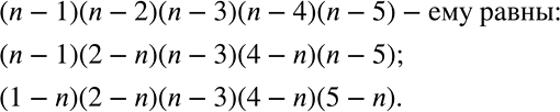
Выпишите выражения, равные произведению
(n - 1)(n - 2)(n - 3)(n - 4)(n - 5):
(1 - n)(n - 2)(n - 3)(n - 4)(n - 5); (n - 1)(2 - n)(n - 3)(4 - n)(n - 5); (1 - n)(2 - n)(3 - n)(4 - n)(5 - n); (1 - n)(2 - n)(n - 3)(4 - n)(5 - n).
Популярные решебники 7 класс Все решебники
*К сожалению, временные проблемы с публикацией комментариев с мобильных устройств.