Упр.6.131 ГДЗ Дорофеев Суворова 7 класс (Алгебра)
Решение #1

Рассмотрим вариант решения задания из учебника Дорофеев, Суворова, Бунимович 7 класс, Просвещение:
Анализируем и рассуждаем (722 — 724)
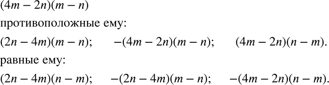
722 Дано выражение (4m - 2n)(m - n). Укажите выражения, противоположные данному; равные данному:
(2n - 4m)(m - n);
(2n - 4m)(n - m);
(4m + 2n)(m + n);
-(4m - 2n)(m - n);
-(2n - 4m)(m - n);
(4m - 2n)(n - m);
(4m - 2n)(m + n);
-(4m - 2n)(n - m).
Популярные решебники 7 класс Все решебники
*размещая тексты в комментариях ниже, вы автоматически соглашаетесь с пользовательским соглашением