Упр.6.120 ГДЗ Дорофеев Суворова 7 класс (Алгебра)
Решение #1

Рассмотрим вариант решения задания из учебника Дорофеев, Суворова, Бунимович 7 класс, Просвещение:
Применяем алгебру Найдите значение выражения при заданном значении переменной:
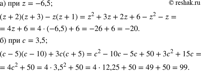
а) (z + 2)(z + 3) - z(z + 1), z = -6,5;
б) (с - 5)(с - 10) + 3с(с + 5), с = 3,5.
Популярные решебники 7 класс Все решебники
*К сожалению, временные проблемы с публикацией комментариев с мобильных устройств.