Упр.6.114 ГДЗ Дорофеев Суворова 7 класс (Алгебра)
Решение #1

Рассмотрим вариант решения задания из учебника Дорофеев, Суворова, Бунимович 7 класс, Просвещение:
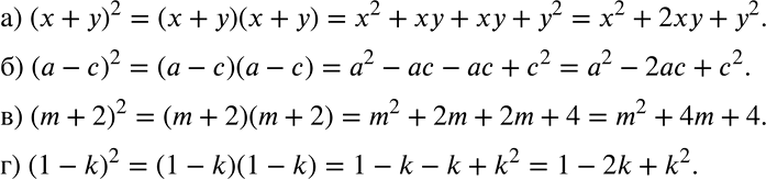
Запишите степень двучлена в виде произведения и выполните умножение:
а) (х + у)2;
б) (а - с)2;
в) (m + 2)2;
г) (1 - k)2.
Популярные решебники 7 класс Все решебники
*К сожалению, временные проблемы с публикацией комментариев с мобильных устройств.