Упр.6.115 ГДЗ Дорофеев Суворова 7 класс (Алгебра)
Решение #1

Рассмотрим вариант решения задания из учебника Дорофеев, Суворова, Бунимович 7 класс, Просвещение:
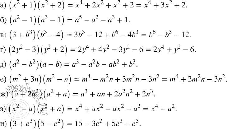
Преобразуйте в многочлен:
а) (x2+ 1)(х2 + 2);
б) (а2 - 1)(а3 - 1);
в) (3 + b3)(b2 - 4);
г) (2y2- 3)(y2 + 2);
д) (а2 - b2)(а - b);
е) (m2+ 3n)(m2-n);
ж) (а+ 2n2)(а2+ n);
з) (x2 - а)(х2 + а);
и) (3 + с3)(5 - с2).
Популярные решебники 7 класс Все решебники
*К сожалению, временные проблемы с публикацией комментариев с мобильных устройств.