Упр.4.89 ГДЗ Дорофеев Суворова 9 класс (Алгебра)
Решение #1

Рассмотрим вариант решения задания из учебника Дорофеев, Суворова, Бунимович 9 класс, Просвещение:
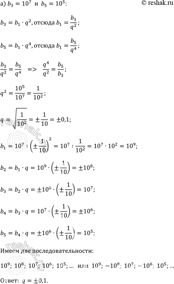
а) Найдите знаменатель геометрической прогрессии (b_n), если известно два её члена: b_3 = 10^7 и b_5 = 10^5. Восстановите прогрессию с первого по пятый член включительно. Сколько решений у вас получилось?
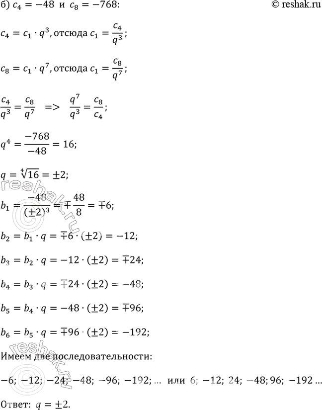
б) Известно два члена геометрической прогрессии (c_n): с_4 = -48 и с_8 = -768. Выпишите все её члены с первого по шестой. Сколько решений у вас получилось?
Популярные решебники 9 класс Все решебники
*К сожалению, временные проблемы с публикацией комментариев с мобильных устройств.