Упр.4.85 ГДЗ Дорофеев Суворова 9 класс (Алгебра)
Решение #1

Рассмотрим вариант решения задания из учебника Дорофеев, Суворова, Бунимович 9 класс, Просвещение:
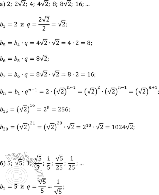
Дана геометрическая прогрессия. Найдите её знаменатель и выпишите следующие три члена этой прогрессии:
а) 2; 22; 4; 42; ...;
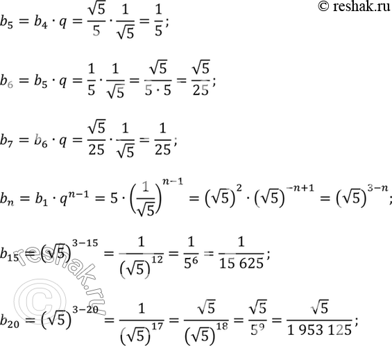
б) 5; 5; 1; 5/5; ... .
В каждом случае запишите формулу n-го члена этой прогрессии и найдите: 15-й член; 20-й член.
Популярные решебники 9 класс Все решебники
*К сожалению, временные проблемы с публикацией комментариев с мобильных устройств.