🔥ГДЗ под запретом?

Упр.4.235 ГДЗ Виленкин Жохов 6 класс Часть 2, Просвещение (Математика)

Решение #1 (Учебник 2023)

Изображение Найдите корень уравнения и выполните проверку:а) - 4 + x = 8,7;   в) 7 - y = 2,4;       д) c + 5/14 = -3/7;б) 9,3 + x = -8;    г) 6 - y = - 3 5/7;   е) c + 1,2 = -1...
Дополнительное изображение

Решение #2 (Учебник 2023)

Изображение Найдите корень уравнения и выполните проверку:а) - 4 + x = 8,7;   в) 7 - y = 2,4;       д) c + 5/14 = -3/7;б) 9,3 + x = -8;    г) 6 - y = - 3 5/7;   е) c + 1,2 = -1...
Дополнительное изображение
Дополнительное изображение
Дополнительное изображение

Решение #3 (Учебник 2023)

Изображение Найдите корень уравнения и выполните проверку:а) - 4 + x = 8,7;   в) 7 - y = 2,4;       д) c + 5/14 = -3/7;б) 9,3 + x = -8;    г) 6 - y = - 3 5/7;   е) c + 1,2 = -1...

Рассмотрим вариант решения задания из учебника Виленкин, Жохов, Чесноков 6 класс, Просвещение:
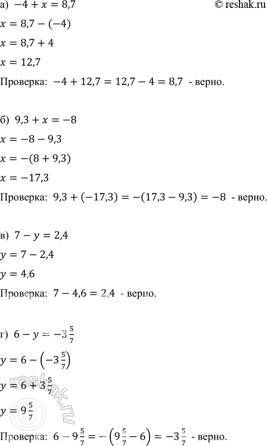
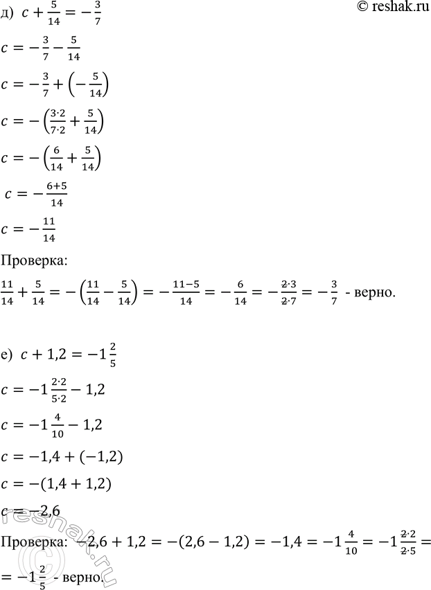
Найдите корень уравнения и выполните проверку:
а) - 4 + x = 8,7; в) 7 - y = 2,4; д) c + 5/14 = -3/7;
б) 9,3 + x = -8; г) 6 - y = - 3 5/7; е) c + 1,2 = -1 2/5.
Уравнение – это равенство, содержащее букву, значение которой необходимо найти.
Корень уравнения – это число, которое при подстановке вместо буквы обращает уравнение в верное числовое равенство.
Решить уравнение – значит найти все его корни или показать, что их вообще нет.
При решении уравнения используем то, что:
- для того, чтобы найти неизвестное слагаемое, необходимо из суммы вычесть известное слагаемое.
- для того, чтобы найти неизвестное вычитаемое, необходимо из уменьшаемого вычесть разность.
Для того, чтобы из данного числа вычесть другое, необходимо к уменьшаемому прибавить число, противоположное вычитаемому.
Для того, чтобы сложить два отрицательных числа, необходимо найти модули слагаемых и сложить модули слагаемых; перед полученным числом поставить знак «-».
Для того, чтобы сложить два числа с разными знаками, необходимо найти модули слагаемых и из большего модуля вычесть меньший модуль; перед полученным числом поставить знак слагаемого с большим модулем.
При сравнении модулей чисел опираемся на следующие правила:
- из двух натуральных чисел больше то, которое в натуральном ряду встречается раньше.
- из двух десятичных дробей с разными целыми частями больше та дробь, у которой целая часть больше.
- из двух дробей с одинаковыми знаменателями больше та, у которой числитель больше, и меньше та, у которой числитель меньше.
- для того, чтобы сравнить две дроби с разными знаменателями, необходимо привести данные дроби к общему знаменателю; применить правило сравнения дробей с одинаковыми знаменателями.
- из двух смешанных чисел с разными целыми частями больше то число, у которого целая часть больше.
Также при выполнении вычислений опираемся на следующие правила:
- для того, чтобы найти сумму (разность) двух дробей с одинаковыми знаменателями, необходимо сложить (вычесть) их числители, а знаменатель оставить прежним.
- для того, чтобы сложить (вычесть) две дроби с разными знаменателями, необходимо привести данные дроби к наименьшему общему знаменателю; применить правило сложения (вычитания) дробей с одинаковыми знаменателями.
- для того, чтобы выполнить вычитание смешанных чисел, необходимо привести дробные части этих чисел к наименьшему общему знаменателю; если дробная часть уменьшаемого меньше дробной части вычитаемого, превратить её в неправильную дробь, уменьшив на единицу целую часть; отдельно выполнить вычитание целых частей и отдельно дробных частей.
а) -4+x=8,7
x=8,7-(-4)
x=8,7+4
x=12,7
Проверка: -4+12,7=12,7-4=8,7 - верно.
б) 9,3+x=-8
x=-8-9,3
x=-(8+9,3)
x=-17,3
Проверка: 9,3+(-17,3)=-(17,3-9,3)=-8 - верно.
в) 7-y=2,4
y=7-2,4
y=4,6
Проверка: 7-4,6=2,4 - верно.
г) 6-y=-3 5/7
y=6-(-3 5/7)
y=6+3 5/7
y=9 5/7
Проверка: 6-9 5/7=-(9 5/7-6)=-3 5/7 - верно.
д) c+5/14=-3/7
c=-3/7-5/14
c=-3/7+(-5/14)
c=-((3•2)/(7•2)+5/14)
c=-(6/14+5/14)
c=-(6+5)/14
c=-11/14
Проверка:
11/14+5/14=-(11/14-5/14)=-(11-5)/14=-6/14=-(2•3)/(2•7)=-3/7 - верно.
е) c+1,2=-1 2/5
c=-1 (2•2)/(5•2)-1,2
c=-1 4/10-1,2
c=-1,4+(-1,2)
c=-(1,4+1,2)
c=-2,6
Проверка: -2,6+1,2=-(2,6-1,2)=-1,4=-1 4/10=-1 (2•2)/(2•5)=
=-1 2/5 - верно.

*Цитирирование задания со ссылкой на учебник производится исключительно в учебных целях для лучшего понимания разбора решения задания.
*К сожалению, временные проблемы с публикацией комментариев с мобильных устройств.