🔥ГДЗ под запретом?

Упр.4.240 ГДЗ Виленкин Жохов 6 класс Часть 2, Просвещение (Математика)

Решение #1 (Учебник 2023)

Изображение Вычислите:а) (31 - 42) - 60;    в) -4 - (-6 - 10);б) -60 + (46 + 80);   г) -5 - (-24 + 25).Для того, чтобы из данного числа вычесть другое, необходимо к...

Решение #2 (Учебник 2023)

Изображение Вычислите:а) (31 - 42) - 60;    в) -4 - (-6 - 10);б) -60 + (46 + 80);   г) -5 - (-24 + 25).Для того, чтобы из данного числа вычесть другое, необходимо к...

Решение #3 (Учебник 2023)

Изображение Вычислите:а) (31 - 42) - 60;    в) -4 - (-6 - 10);б) -60 + (46 + 80);   г) -5 - (-24 + 25).Для того, чтобы из данного числа вычесть другое, необходимо к...

Решение #4 (Учебник 2021)

Изображение Вычислите:а) (31 - 42) - 60;    в) -4 - (-6 - 10);б) -60 + (46 + 80);   г) -5 - (-24 + 25).Для того, чтобы из данного числа вычесть другое, необходимо к...

Рассмотрим вариант решения задания из учебника Виленкин, Жохов, Чесноков 6 класс, Просвещение:
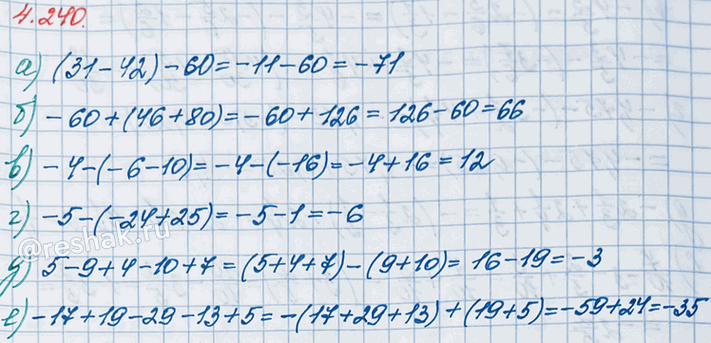
Вычислите алгебраическую сумму:
а) (31 - 42) - 60; в) -4 - (-6 - 10); д) 5 - 9 + 4 - 10 + 7;
б) -60 + (46 + 80); г) -5 - (-24 + 25); е) -17 + 19 - 29 - 13 + 5.

Вычислите:
а) (31 - 42) - 60; в) -4 - (-6 - 10);
б) -60 + (46 + 80); г) -5 - (-24 + 25).

Для того, чтобы из данного числа вычесть другое, необходимо к уменьшаемому прибавить число, противоположное вычитаемому.
Для того, чтобы сложить два отрицательных числа, необходимо найти модули слагаемых и сложить модули слагаемых; перед полученным числом поставить знак «-».
Для того, чтобы сложить два числа с разными знаками, необходимо найти модули слагаемых и из большего модуля вычесть меньший модуль; перед полученным числом поставить знак слагаемого с большим модулем.
Из двух натуральных чисел больше то, которое в натуральном ряду встречается раньше.
а) (31-42)-60=(31+(-42))-60=-(42-31)-60=-11-60=-(11+60)=-71
б) -60+(46+80)=-60+126=126-60=66
в) -4—6-10=-4—(6+10)=-4—16=-4+16=16-4=12
г) -5-(-24+25)=-5-(25-24)=-5-1=-5+(-1)=-(5+1)=-6

*Цитирирование задания со ссылкой на учебник производится исключительно в учебных целях для лучшего понимания разбора решения задания.
*К сожалению, временные проблемы с публикацией комментариев с мобильных устройств.