🔥ГДЗ под запретом?

Упр.4.241 ГДЗ Виленкин Жохов 6 класс Часть 2, Просвещение (Математика)

Решение #1 (Учебник 2023)

Изображение Найдите значение выражения:а) 3,2 - (-1,7 + 4,1);   в) (26,5 - 77) + 43,5;б) (-4,3 + 70) - 0,9;    г) (-3,2 + 4,6) + 8,8.Для того, чтобы из данного числа вычесть...

Решение #2 (Учебник 2023)

Изображение Найдите значение выражения:а) 3,2 - (-1,7 + 4,1);   в) (26,5 - 77) + 43,5;б) (-4,3 + 70) - 0,9;    г) (-3,2 + 4,6) + 8,8.Для того, чтобы из данного числа вычесть...

Решение #3 (Учебник 2023)

Изображение Найдите значение выражения:а) 3,2 - (-1,7 + 4,1);   в) (26,5 - 77) + 43,5;б) (-4,3 + 70) - 0,9;    г) (-3,2 + 4,6) + 8,8.Для того, чтобы из данного числа вычесть...

Решение #4 (Учебник 2021)

Изображение Найдите значение выражения:а) 3,2 - (-1,7 + 4,1);   в) (26,5 - 77) + 43,5;б) (-4,3 + 70) - 0,9;    г) (-3,2 + 4,6) + 8,8.Для того, чтобы из данного числа вычесть...

Рассмотрим вариант решения задания из учебника Виленкин, Жохов, Чесноков 6 класс, Просвещение:
Найдите значение выражения:
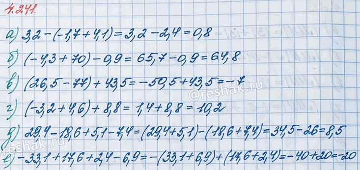
а) 3,2 - (-1,7 + 4,1); в) (26,5 - 77) + 43,5; д) 29,4 - 18,6 + 5,1 - 7,4;
б) (-4,3 + 70) - 0,9; г) (-3,2 + 4,6) + 8,8; е) -33,1 + 17,6 + 2,4 - 6,9.

Найдите значение выражения:
а) 3,2 - (-1,7 + 4,1); в) (26,5 - 77) + 43,5;
б) (-4,3 + 70) - 0,9; г) (-3,2 + 4,6) + 8,8.

Для того, чтобы из данного числа вычесть другое, необходимо к уменьшаемому прибавить число, противоположное вычитаемому.
Для того, чтобы сложить два числа с разными знаками, необходимо найти модули слагаемых и из большего модуля вычесть меньший модуль; перед полученным числом поставить знак слагаемого с большим модулем.
При сравнении модулей чисел опираемся на следующие правила:
- из двух натуральных чисел больше то, которое в натуральном ряду встречается раньше.
- из двух десятичных дробей с разными целыми частями больше та дробь, у которой целая часть больше.
а) 3,2-(-1,7+4,1)=3,2-(4,1-1,7)=3,2-2,4=0,8
б) (-4,3+70)-0,9=(70-4,3)-0,9=65,7-0,9=64,8
в) (26,5-77)+43,5=(26,5+(-77))+43,5=-(77-26,5)+43,5=-50,5+43,5=-(50,5-43,5)=-7
г) (-3,2+4,6)+8,8=(4,6-3,2)+8,8=1,4+8,8=10,2

*Цитирирование задания со ссылкой на учебник производится исключительно в учебных целях для лучшего понимания разбора решения задания.
*К сожалению, временные проблемы с публикацией комментариев с мобильных устройств.