🔥ГДЗ под запретом?

Упр.4.239 ГДЗ Виленкин Жохов 6 класс Часть 2, Просвещение (Математика)

Решение #1 (Учебник 2023)

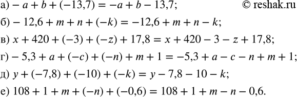
Изображение Составьте сумму со следующими слагаемыми:а) -а; b; -13,7;      в) х; 420; -3; -z; 17,8;б) -12,6; m; n; -k;   г) -5,3; а; -с; -n; m;...

Решение #2 (Учебник 2023)

Изображение Составьте сумму со следующими слагаемыми:а) -а; b; -13,7;      в) х; 420; -3; -z; 17,8;б) -12,6; m; n; -k;   г) -5,3; а; -с; -n; m;...

Решение #3 (Учебник 2021)

Изображение Составьте сумму со следующими слагаемыми:а) -а; b; -13,7;      в) х; 420; -3; -z; 17,8;б) -12,6; m; n; -k;   г) -5,3; а; -с; -n; m;...

Рассмотрим вариант решения задания из учебника Виленкин, Жохов, Чесноков 6 класс, Просвещение:
Составьте алгебраическую сумму со следующими слагаемыми:
а) -а; b; -13,7; в) х; 420; -3; -z; 17,8; д) у; -7,8; -10; -k;
б) -12,6; m; n; -k; г) -5,3; а; -с; -n; m; 1; е) 108; 1; m; -n; -0,6.

Составьте сумму со следующими слагаемыми:
а) -а; b; -13,7; в) х; 420; -3; -z; 17,8;
б) -12,6; m; n; -k; г) -5,3; а; -с; -n; m; 1.

*Цитирирование задания со ссылкой на учебник производится исключительно в учебных целях для лучшего понимания разбора решения задания.
*К сожалению, временные проблемы с публикацией комментариев с мобильных устройств.