🔥ГДЗ под запретом?

Упр.4.211 ГДЗ Виленкин Жохов 6 класс Часть 2, Просвещение (Математика)

Решение #1 (Учебник 2023)

Изображение Выполните сложение:а) -26 + (-17);   г) -5/9 + (-1/3);   ж) -0,4 + (-1/30); б) -4,8 + (-5,7);   д) -0,75 + (-1/4);   з) 9/13 + 2 + (-9/13);в) -3 4/7 + (-4 1/7);  ...

Решение #2 (Учебник 2023)

Изображение Выполните сложение:а) -26 + (-17);   г) -5/9 + (-1/3);   ж) -0,4 + (-1/30); б) -4,8 + (-5,7);   д) -0,75 + (-1/4);   з) 9/13 + 2 + (-9/13);в) -3 4/7 + (-4 1/7);  ...
Дополнительное изображение

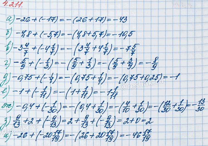
Решение #3 (Учебник 2023)

Изображение Выполните сложение:а) -26 + (-17);   г) -5/9 + (-1/3);   ж) -0,4 + (-1/30); б) -4,8 + (-5,7);   д) -0,75 + (-1/4);   з) 9/13 + 2 + (-9/13);в) -3 4/7 + (-4 1/7);  ...

Рассмотрим вариант решения задания из учебника Виленкин, Жохов, Чесноков 6 класс, Просвещение:
Выполните сложение:
а) -26 + (-17); г) -5/9 + (-1/3); ж) -0,4 + (-1/30);
б) -4,8 + (-5,7); д) -0,75 + (-1/4); з) 9/13 + 2 + (-9/13);
в) -3 4/7 + (-4 1/7); е) -1 + (-1/11); и) -26 + (-20 17/19).
Для того, чтобы сложить отрицательные числа, необходимо сложить их модули и поставить перед полученным числом знак «-».
При выполнении действий опираемся на следующие правила:
- для того, чтобы найти разность двух дробей с одинаковыми знаменателями, необходимо из числителя уменьшаемого вычесть числитель вычитаемого, а знаменатель оставить прежним.
- для того, чтобы сложить (вычесть) две дроби с разными знаменателями, необходимо привести данные дроби к наименьшему общему знаменателю; применить правило сложения (вычитания) дробей с одинаковыми знаменателями.
- для того, чтобы выполнить вычитание смешанных чисел, необходимо привести дробные части этих чисел к наименьшему общему знаменателю.
а) -26+(-17)=-(26+17)=-43
б) -4,8+(-5,7)=-(4,8+5,7)=-10,5
в) -3 4/7+(-4 1/7)=-(3 4/7+4 1/7)=-((3+4)+(4/7+1/7))=-(7+(4+1)/7)=-7 5/7
г) -5/9+(-1/3)=-(5/9+1/3)=-(5/9+(1•3)/(3•3))=-(5/9+3/9)=-(5+3)/9=-8/9
д) -0,75+(-1/4)=-0,75+(-(1•25)/(4•25))=-0,75+(-25/100)=-0,75+(-0,25)=-(0,75+0,25)=-1
е) -1+(-1/11)=-(1+1/11)-1 1/11
ж) -0,4+(-1/30)=-4/10+(-1/30)=-(4•3)/(10•3)+(-1/30)=-12/30+(-1/30)=-(12/30+1/30)=-(12+1)/30=-13/30
з) 9/13+2+(-9/13)=2+(9/13-9/13)=2+0=2
и) -26+(-20 17/19)=-(26+20 17/19)=-46 17/19

*Цитирирование задания со ссылкой на учебник производится исключительно в учебных целях для лучшего понимания разбора решения задания.
*К сожалению, временные проблемы с публикацией комментариев с мобильных устройств.