🔥ГДЗ под запретом?

Упр.4.205 ГДЗ Виленкин Жохов 6 класс Часть 2, Просвещение (Математика)

Решение #1 (Учебник 2023)

Изображение Составьте выражение и вычислите его значение:а) к сумме чисел -7 и -23 прибавить число 10;б) к числу 5,3 прибавить сумму чисел —4,6 и 1,9;в) к сумме чисел -15 и...

Решение #2 (Учебник 2023)

Изображение Составьте выражение и вычислите его значение:а) к сумме чисел -7 и -23 прибавить число 10;б) к числу 5,3 прибавить сумму чисел —4,6 и 1,9;в) к сумме чисел -15 и...
Дополнительное изображение

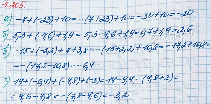
Решение #3 (Учебник 2023)

Изображение Составьте выражение и вычислите его значение:а) к сумме чисел -7 и -23 прибавить число 10;б) к числу 5,3 прибавить сумму чисел —4,6 и 1,9;в) к сумме чисел -15 и...

Рассмотрим вариант решения задания из учебника Виленкин, Жохов, Чесноков 6 класс, Просвещение:
Составьте выражение и вычислите его значение:
а) к сумме чисел -7 и -23 прибавить число 10;
б) к числу 5,3 прибавить сумму чисел —4,6 и 1,9;
в) к сумме чисел -15 и -2,2 прибавить сумму чисел 7 и 3,8;
г) к сумме чисел 14 и -9,4 прибавить сумму чисел -4,8 и -3.
При составлении выражений сумму чисел записываем в скобках, затем выполняем действия в скобках, а потом за скобками.
Для того, чтобы сложить два отрицательных числа, необходимо найти модули слагаемых (модуль числа принимает только неотрицательные значения) и сложить модули слагаемых; перед полученным числом поставить знак «-» (обычно знак минус выносят за скобки и в скобках находят сумму модулей).
Для того, чтобы сложить два числа с разными знаками, необходимо найти модули слагаемых (модуль числа принимает только неотрицательные значения) и из большего модуля вычесть меньший модуль; перед полученным числом поставить знак слагаемого с большим модулем (обычно сначала определяют и записывают знак суммы, а потом в скобках находят разность модулей, если сумма в итоге получается положительной, то скобки можно не ставить).
При сравнении модулей чисел опираемся на следующие правила:
- из двух натуральных чисел больше то, которое в натуральном ряду встречается раньше.
- из двух десятичных дробей с разными целыми частями больше та дробь, у которой целая часть больше.
а) (-7+(-23))+10=-(7+23)+10=-30+10=-(30-10)=-20
б) 5,3+(-4,6+1,9)=5,3+(-(4,6-1,9))=5,3+(-2,7)=5,3-2,7=2,6
в) (-15+(-2,2))+(7+3,8)=-(15+2,2)+10,8=-17,2+10,8=-(17,2-10,8)=-6,4
г) (14+(-9,4))+(-4,8+(-3))=(14-9,4)+(-(4,8+3))=4,6+(-7,8)=-(7,8-4,6)=-3,2

*Цитирирование задания со ссылкой на учебник производится исключительно в учебных целях для лучшего понимания разбора решения задания.
*К сожалению, временные проблемы с публикацией комментариев с мобильных устройств.