🔥ГДЗ под запретом?

Упр.4.202 ГДЗ Виленкин Жохов 6 класс Часть 2, Просвещение (Математика)

Решение #1 (Учебник 2023)

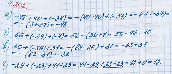
Изображение Найдите значение выражения:а) -48 + 40 + (-37);    в) 26 + (-89) + 31;б) 56 + (-39) + (-7);   г) -29 + (-23) + 41 + 23.Для того, чтобы сложить два числа с...

Решение #2 (Учебник 2023)

Изображение Найдите значение выражения:а) -48 + 40 + (-37);    в) 26 + (-89) + 31;б) 56 + (-39) + (-7);   г) -29 + (-23) + 41 + 23.Для того, чтобы сложить два числа с...

Решение #3 (Учебник 2023)

Изображение Найдите значение выражения:а) -48 + 40 + (-37);    в) 26 + (-89) + 31;б) 56 + (-39) + (-7);   г) -29 + (-23) + 41 + 23.Для того, чтобы сложить два числа с...

Рассмотрим вариант решения задания из учебника Виленкин, Жохов, Чесноков 6 класс, Просвещение:
Найдите значение выражения:
а) -48 + 40 + (-37); в) 26 + (-89) + 31;
б) 56 + (-39) + (-7); г) -29 + (-23) + 41 + 23.
Для того, чтобы сложить два числа с разными знаками, необходимо найти модули слагаемых (модуль числа принимает только неотрицательные значения) и из большего модуля вычесть меньший модуль; перед полученным числом поставить знак слагаемого с большим модулем.
Обычно сначала определяют и записывают знак суммы, а потом в скобках находят разность модулей, если сумма в итоге получается положительной, то скобки можно не ставить.
При сравнении модулей чисел опираемся на то, что из двух натуральных чисел больше то, которое в натуральном ряду встречается раньше.
а) -48+40+(-37)=-(48-40)+(-37)=-8+(-37)=-(8+37)=-45
б) 56+(-39)+(-7)=56-39+(-7)=17+(-7)=17-7=10
в) 26+(-89)+31=-(89-26)+31=-63+31=-(63-31)=-32
г) -29+(-23)+41+23=-(29+23)+41+23=-52+41+23=-(52-41)+23=-11+23=23-11=12

*Цитирирование задания со ссылкой на учебник производится исключительно в учебных целях для лучшего понимания разбора решения задания.
*К сожалению, временные проблемы с публикацией комментариев с мобильных устройств.