Упр.35.6 ГДЗ Мерзляк 10 класс Углубленный уровень (Алгебра)
Решение #1

Рассмотрим вариант решения задания из учебника Мерзляк, Номировский, Поляков 10 класс, Просвещение:
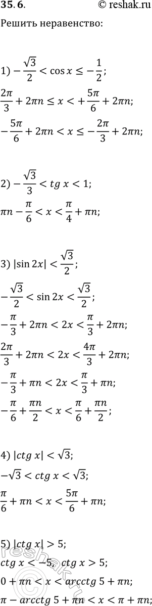
35.6. Решите неравенство:
1) -v3/2 < cos(x)?-1/2; 4) |ctg(x)| < v3;
2) -v3/3 < tg(x) < 1; 5) |ctg(x)| > 5.
3) |sin(2x)| < v3/2;
Похожие решебники
Популярные решебники 10 класс Все решебники
*размещая тексты в комментариях ниже, вы автоматически соглашаетесь с пользовательским соглашением