Упр.35.11 ГДЗ Мерзляк 10 класс Углубленный уровень (Алгебра)
Решение #1

Рассмотрим вариант решения задания из учебника Мерзляк, Номировский, Поляков 10 класс, Просвещение:
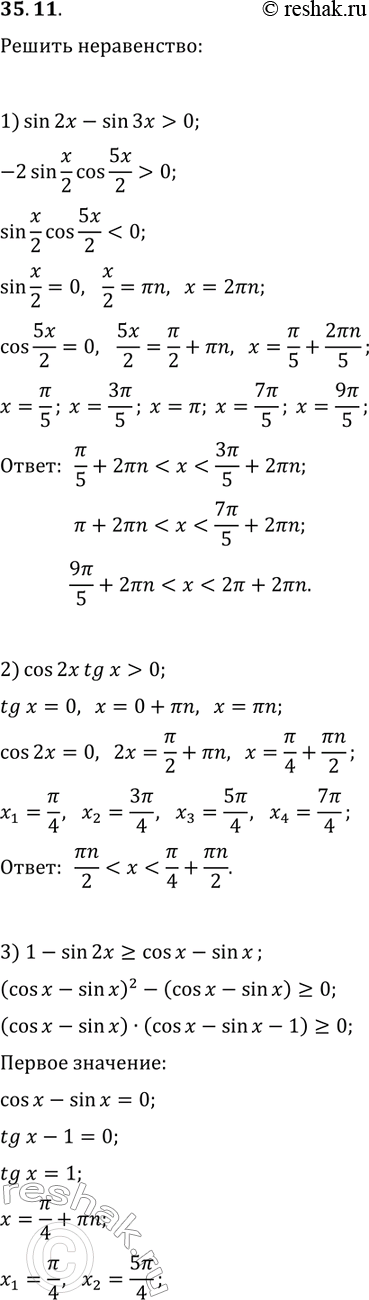
35.11. Решите неравенство:
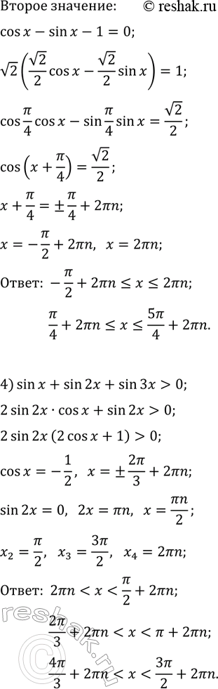
1) sin(2x)-sin(3x) > 0; 3) 1-sin(2x)?cos(x)-sin(x);
2) cos(2x)tg(x) > 0; 4) sin(x)+sin(2x)+sin(3x) > 0.
Похожие решебники
Популярные решебники 10 класс Все решебники
*размещая тексты в комментариях ниже, вы автоматически соглашаетесь с пользовательским соглашением