Упр.35.12 ГДЗ Мерзляк 10 класс Углубленный уровень (Алгебра)
Решение #1

Рассмотрим вариант решения задания из учебника Мерзляк, Номировский, Поляков 10 класс, Просвещение:
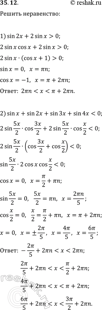
35.12. Решите неравенство:
1) sin(2x)+2sin(x) > 0;
2) sin(x)+sin(2x)+sin(3x)+sin(4x) < 0;
3) sin^2(x)+sin^2(2x)-sin^2(3x) > 0;
4) cos(x)cos(3x) < cos(5x)cos(7x).
Похожие решебники
Популярные решебники 10 класс Все решебники
*размещая тексты в комментариях ниже, вы автоматически соглашаетесь с пользовательским соглашением