Упр.35.3 ГДЗ Мерзляк 10 класс Углубленный уровень (Алгебра)
Решение #1

Рассмотрим вариант решения задания из учебника Мерзляк, Номировский, Поляков 10 класс, Просвещение:
35.3. Решите неравенство:
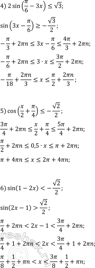
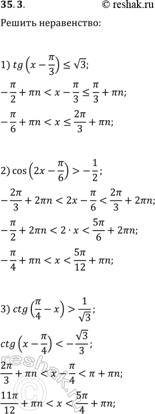
1) tg(x-?/3)?v3; 4) 2sin(?/6-3x)?v3;
2) cos(2x-?/6) > -1/2; 5) cos(x/2+?/4)?-v2/2;
3) ctg(?/4-x) > 1/v3; 6) sin(1-2x) < -v2/2.
Похожие решебники
Популярные решебники 10 класс Все решебники
*размещая тексты в комментариях ниже, вы автоматически соглашаетесь с пользовательским соглашением