Упр.34.12 ГДЗ Мерзляк 10 класс Углубленный уровень (Алгебра)
Решение #1

Рассмотрим вариант решения задания из учебника Мерзляк, Номировский, Поляков 10 класс, Просвещение:
34.12. Решите уравнение:
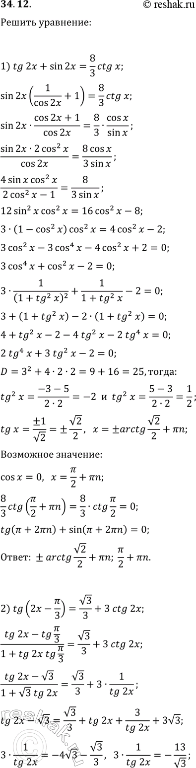
1) tg(2x)+sin(2x)=8/3ctg(x);
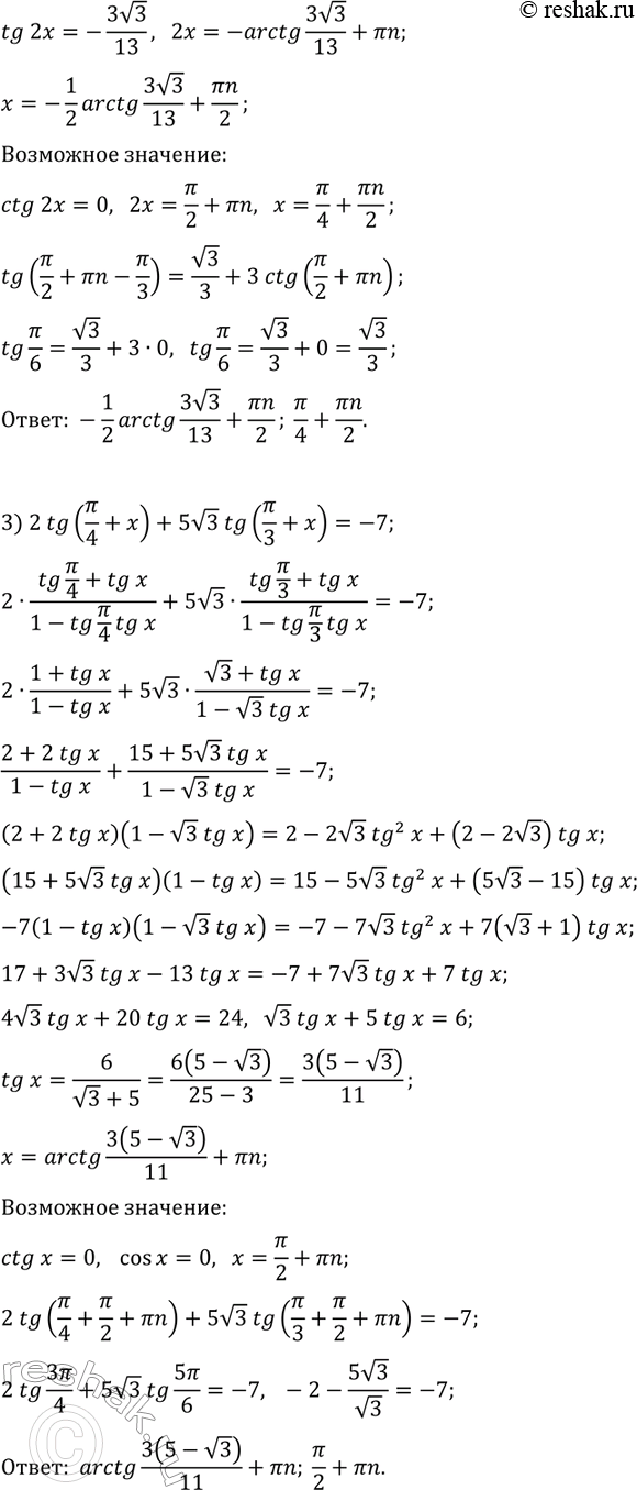
2) tg(2x-?/3)=v3/3+3ctg(2x);
3) 2tg(?/4+x)+5v3tg(?/3+x)=-7.
Похожие решебники
Популярные решебники 10 класс Все решебники
*размещая тексты в комментариях ниже, вы автоматически соглашаетесь с пользовательским соглашением