Упр.35.10 ГДЗ Мерзляк 10 класс Углубленный уровень (Алгебра)
Решение #1

Рассмотрим вариант решения задания из учебника Мерзляк, Номировский, Поляков 10 класс, Просвещение:
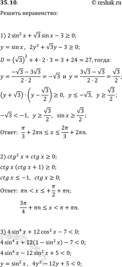
35.10. Решите неравенство:
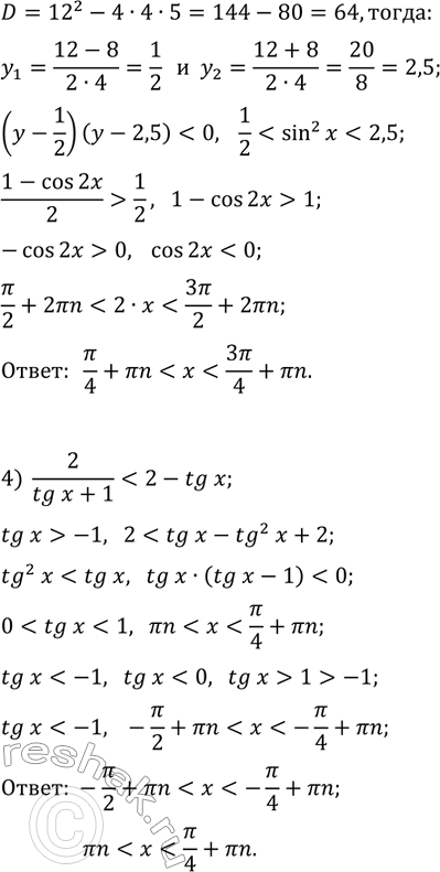
1) 2sin^2(x)+v3sin(x)-3?0; 3) 4sin^4(x)+12cos^2(x)-7 < 0;
2) ctg^2(x)+ctg(x)?0; 4) 2/(tg(x)+1) < 2-tg(x).
Похожие решебники
Популярные решебники 10 класс Все решебники
*размещая тексты в комментариях ниже, вы автоматически соглашаетесь с пользовательским соглашением