Упр.35.9 ГДЗ Мерзляк 10 класс Углубленный уровень (Алгебра)
Решение #1

Рассмотрим вариант решения задания из учебника Мерзляк, Номировский, Поляков 10 класс, Просвещение:
35.9. Решите неравенство:
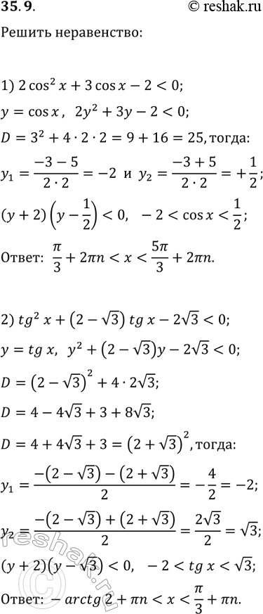
1) 2cos^2(x)+3cos(x)-2 < 0;
2) tg^2(x)+(2-v3)tg(x)-2v3 < 0;
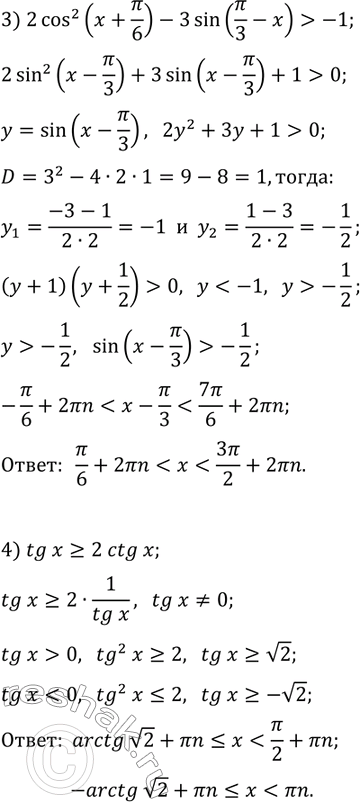
3) 2cos^2(x+?/6)-3sin(?/3-x) > -1;
4) tg(x)?2ctg(x).
Похожие решебники
Популярные решебники 10 класс Все решебники
*размещая тексты в комментариях ниже, вы автоматически соглашаетесь с пользовательским соглашением