Упр.35.4 ГДЗ Мерзляк 10 класс Углубленный уровень (Алгебра)
Решение #1

Рассмотрим вариант решения задания из учебника Мерзляк, Номировский, Поляков 10 класс, Просвещение:
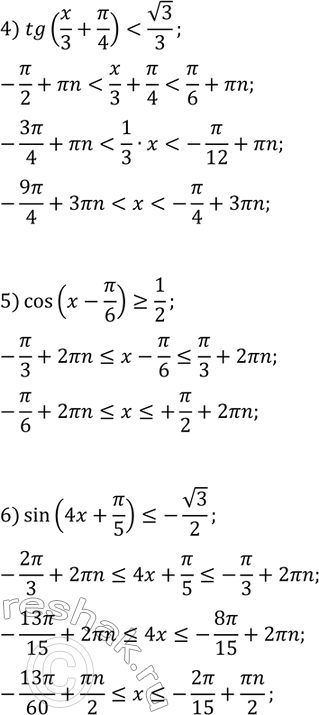
35.4. Решите неравенство:
1) ctg(x+?/6)?v3; 4) tg(x/3+?/4) < v3/3;
2) cos(x/2+?/3) < -v2/2; 5) cos(x-?/6)?1/2;
3) 2sin(2?/3-x) < 1; 6) sin(4x+?/5)?-v3/2.
Похожие решебники
Популярные решебники 10 класс Все решебники
*размещая тексты в комментариях ниже, вы автоматически соглашаетесь с пользовательским соглашением