Упр.32.8 ГДЗ Мордкович Семенов 11 класс (Алгебра)
Решение #1 (Учебник 2025)
Решение #2 (Учебник 2022)

Рассмотрим вариант решения задания из учебника Мордкович, Семенов, Александрова 11 класс, Просвещение:
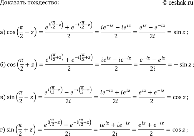
Докажите тождество.
а) cos(?/2 - z) = sin(z); в) cos(?/2 - z) = cos(z);
б) cos(?/2 + z) = -sin(z); г) sin(?/2 + z) = cos(z).
Среднее всех отметок ученика по физкультуре равно 3,8. Ученик решил улучшить это среднее. Для этого он планирует в электронном журнале «удвоить» пятёрки: к каждой уже имеющейся пятёрке дописать ещё одну пятёрку.
а) Вычислите среднее отметок 7{5, ..., 5}, 1, 1, 1.
б) Приведите пример того же среднего 3,8 для отметок без единиц.
в) Приведите пример того же среднего 3,8 для отметок без пятёрок.
г) Докажите, что наибольшая возможная частота пятёрок равна 0,7.
д) Докажите, что среднее значение новых отметок есть дробнолинейная функция от частоты пятёрок в первоначальном наборе отметок.
е) Найдите наибольшее возможное значение среднего новых отметок.
Похожие решебники
Популярные решебники 11 класс Все решебники
*К сожалению, временные проблемы с публикацией комментариев с мобильных устройств.