Упр.32.9 ГДЗ Мордкович Семенов 11 класс (Алгебра)
Решение #1 (Учебник 2025)
Решение #2 (Учебник 2022)

Рассмотрим вариант решения задания из учебника Мордкович, Семенов, Александрова 11 класс, Просвещение:
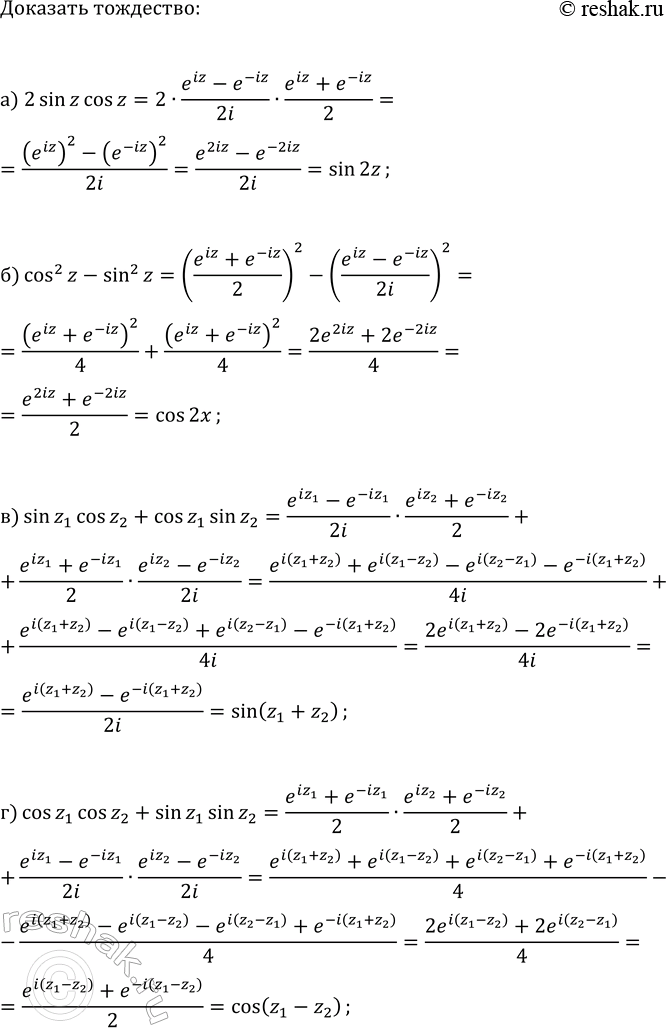
Докажите тождество.
а) sin(2z) = 2sin(z)cos(z);
б) cos(2z) = (cos(z))^2 - (sin(z))^2;
в) sin(z_1 + z_2) = sin(z_1)cos(z_2) + cos(z_1)sin(z_2);
г) cos(z_1 - z_2) = cos(z_1)cos(z_2) + sin(z_1)sin(z_2).
Финансовая компания имела вклады в 20 банках. Среднее вкладов равно 27 млн р. Размер каждого вклада — целое число миллионов рублей, не превосходящее 40. Компания сняла по 1 млн р. с некоторых (быть может, одного) вкладов и закрыла после этого все обнулившиеся вклады.
а) Могла ли половина вкладов быть по 1 млн р.?
б) Могло ли быть 7 вкладов по 1 млн р.?
в) Докажите, что имелось не более 6 вкладов по 1 млн р.
г) Вклады (в млн р.) были следующие: 1, 14, 15, 30, ..., 30; уменьшались первые три вклада (в 1, 14 и 15 млн. р.). Найдите среднее новых вкладов.
д) Вклады (в млн р.) были следующие: 6{1, ..., 1}, 14, 13{40, ..., 40}, уменьшались первые шесть вкладов (в млн р.). Найдите среднее новых вкладов.
е) Докажите, что ответ в «д» — наибольший из всех возможных значений нового среднего.
Похожие решебники
Популярные решебники 11 класс Все решебники
*К сожалению, временные проблемы с публикацией комментариев с мобильных устройств.