Упр.32.10 ГДЗ Мордкович Семенов 11 класс (Алгебра)
Решение #1 (Учебник 2025)
Решение #2 (Учебник 2022)

Рассмотрим вариант решения задания из учебника Мордкович, Семенов, Александрова 11 класс, Просвещение:
Решите уравнение:
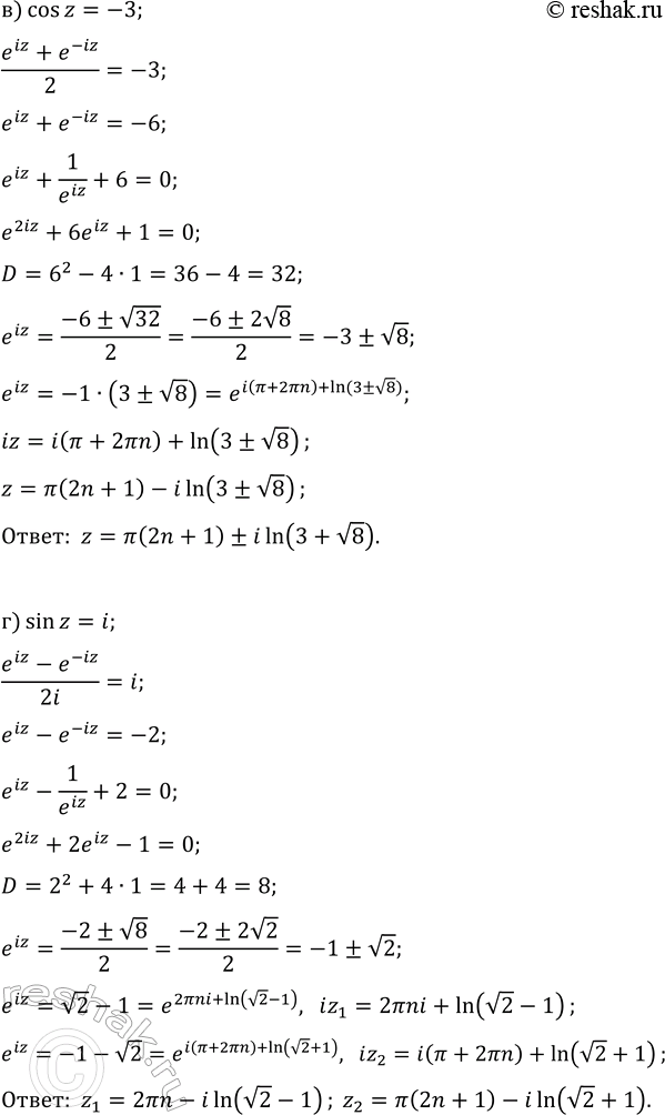
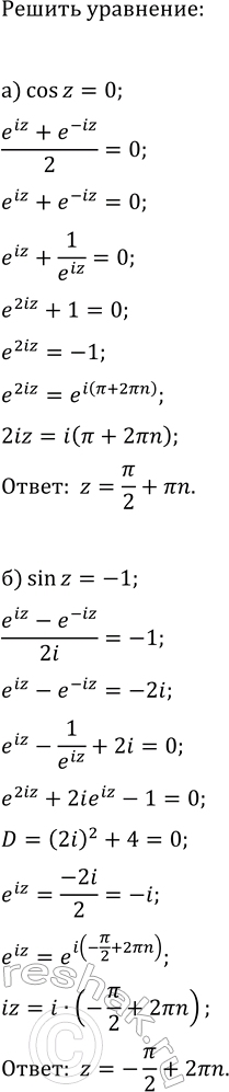
а) cos z = 0; в) cos z = -3;
б) sin z = -1; г) sin z = i.
В ряд через запятую произвольно написали 47 натуральных чисел, для которых среднее арифметическое любых 9 подряд идущих чисел меньше 1,7.
а) Может ли среди 9 подряд идущих чисел быть ровно одна единица?
б) Может ли среди 9 подряд идущих чисел быть ровно две единицы?
в) Докажите, что среди 9 подряд идущих чисел всегда есть хотя бы три единицы.
г) Какое наименьшее количество единиц может быть среди всех выписанных чисел?
д) Докажите, что сумма всех 47 чисел не больше 83.
е) Приведите пример того, что сумма всех 47 чисел может равняться 83.
Похожие решебники
Популярные решебники 11 класс Все решебники
*К сожалению, временные проблемы с публикацией комментариев с мобильных устройств.