Упр.32.3 ГДЗ Мордкович Семенов 11 класс (Алгебра)
Решение #1 (Учебник 2025)
Решение #2 (Учебник 2022)

Рассмотрим вариант решения задания из учебника Мордкович, Семенов, Александрова 11 класс, Просвещение:
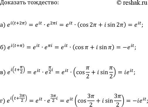
Докажите тождество.
а) e^(i(t+2?)) = e^(it); в) e^(i(t + ?/2)) = i · e^(it);
б) e^(i(t+?)) = -e^(it); г) e^(i(t + 3?/2)) = -i · e^(it).
Какое число следует включить в набор -3, 4, 5, 6 для того, чтобы среднее стало равняться:
а) -2; б) 0; в) 100; г) 1000; д) 2020; е) ??
Похожие решебники
Популярные решебники 11 класс Все решебники
*К сожалению, временные проблемы с публикацией комментариев с мобильных устройств.