Упр.32.2 ГДЗ Мордкович Семенов 11 класс (Алгебра)
Решение #1 (Учебник 2025)
Решение #2 (Учебник 2022)

Рассмотрим вариант решения задания из учебника Мордкович, Семенов, Александрова 11 класс, Просвещение:
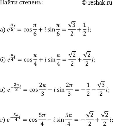
Найдите e^(it) при данном значении t.
а) t = ?/6; б) t = ?/4; в) t = -2?/3; г) t = -5?/4.
Вычислите среднее следующего набора натуральных чисел:
а) от 1 до 5 включительно;
б) от 2 до 6 включительно;
в) от 3 до 12 включительно;
г) от 4 до 23 включительно;
д) состоящего из всех нечётных однозначных чисел;
е) состоящего из всех простых однозначных чисел.
Похожие решебники
Популярные решебники 11 класс Все решебники
*К сожалению, временные проблемы с публикацией комментариев с мобильных устройств.