Упр.3.27 ГДЗ Дорофеев Суворова 7 класс (Алгебра)
Решение #1

Рассмотрим вариант решения задания из учебника Дорофеев, Суворова, Бунимович 7 класс, Просвещение:
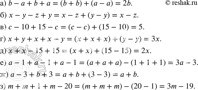
а) b - a + b + а;
б) х- у- z + у;
в) с - 10 + 15 - с;
г) х + у + х + х-у;
д) х + х - 15 + 15;
е) a-1+a-1 + a-1;
ж) а - 3 + b + 3;
з) m + m + 1 + m - 20.
Популярные решебники 7 класс Все решебники
*размещая тексты в комментариях ниже, вы автоматически соглашаетесь с пользовательским соглашением