Упр.3.32 ГДЗ Дорофеев Суворова 7 класс (Алгебра)
Решение #1

Рассмотрим вариант решения задания из учебника Дорофеев, Суворова, Бунимович 7 класс, Просвещение:
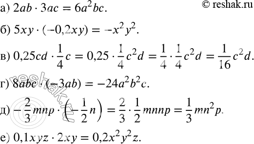
Упростите выражение:
а) 2ab * 3ac;
б) 5xy * (-0,2xy);
в) 0,25cd * 1/4*с;
r) 8abc * (-3ab);
д) -2/3*mnp * (-1/2*n);
e) 0,1xyz * 2xу.
Популярные решебники 7 класс Все решебники
*размещая тексты в комментариях ниже, вы автоматически соглашаетесь с пользовательским соглашением