Упр.3.30 ГДЗ Дорофеев Суворова 7 класс (Алгебра)
Решение #1

Рассмотрим вариант решения задания из учебника Дорофеев, Суворова, Бунимович 7 класс, Просвещение:
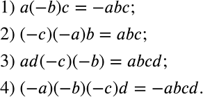
Для каждого выражения из верхней строки выберите равное ему из нижней строки и запишите соответствующее равенство.
a(-b)c
(-c)(-a)b
ad(-c)(-b)
(-a)(-b)(-c)d
abcd
-abcd
abc
-abc
Популярные решебники 7 класс Все решебники
*размещая тексты в комментариях ниже, вы автоматически соглашаетесь с пользовательским соглашением