Упр.3.31 ГДЗ Дорофеев Суворова 7 класс (Алгебра)
Решение #1

Рассмотрим вариант решения задания из учебника Дорофеев, Суворова, Бунимович 7 класс, Просвещение:
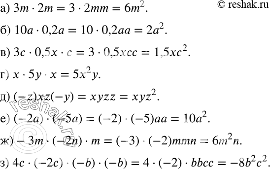
Упростите произведение:
а) 3m * 2m;
б) 10a * 0,2a;
в) 3c * 0,5x * с;
г) x * 5y * x;
д) (-z)xz(-y);
e) (-2a) * (-5a);
ж) -Зm * (-2n) * m;
з) 4c * (-2c) * (-b) * (-b).
Популярные решебники 7 класс Все решебники
*размещая тексты в комментариях ниже, вы автоматически соглашаетесь с пользовательским соглашением