Упр.3.21 ГДЗ Дорофеев Суворова 7 класс (Алгебра)
Решение #1

Рассмотрим вариант решения задания из учебника Дорофеев, Суворова, Бунимович 7 класс, Просвещение:
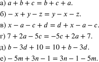
Преобразуйте выражение в равное, изменив каким-либо способом порядок слагаемых:
а) а + и + с;
б) -х + у - z;
в) х - а - с + d;
г) 7 + 2а - 5с;
д) b - 3d + 10;
е) -5m + Зn - 1.
Популярные решебники 7 класс Все решебники
*размещая тексты в комментариях ниже, вы автоматически соглашаетесь с пользовательским соглашением