🔥ГДЗ под запретом?

Упр.3.164 ГДЗ Виленкин Жохов 6 класс Часть 1, Просвещение (Математика)

Решение #1 (Учебник 2023)

Изображение Найдите длину окружности, диаметр которой равен: 32 дм; 5,6 см; 30,5 мм. Число п округлите до сотых.Окружность – это замкнутая кривая, которая состоит из всех точек...

Решение #2 (Учебник 2023)

Изображение Найдите длину окружности, диаметр которой равен: 32 дм; 5,6 см; 30,5 мм. Число п округлите до сотых.Окружность – это замкнутая кривая, которая состоит из всех точек...

Решение #3 (Учебник 2023)

Изображение Найдите длину окружности, диаметр которой равен: 32 дм; 5,6 см; 30,5 мм. Число п округлите до сотых.Окружность – это замкнутая кривая, которая состоит из всех точек...

Рассмотрим вариант решения задания из учебника Виленкин, Жохов, Чесноков 6 класс, Просвещение:
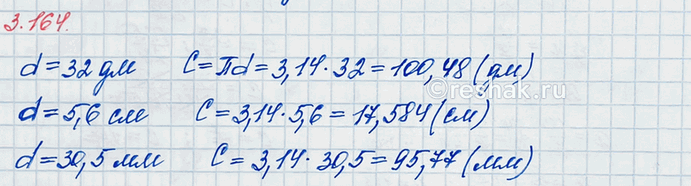
Найдите длину окружности, диаметр которой равен: 32 дм; 5,6 см; 30,5 мм. Число п округлите до сотых.
Окружность – это замкнутая кривая, которая состоит из всех точек на плоскости, равноудалённых от заданной точки.
Заданная точка является центром окружности.
Диаметр – это отрезок, проходящий через центр окружности и соединяющий две точки окружности.
Длина окружности равна произведению числа п на диаметр окружности, то есть C=пd
По условию, число п необходимо округлить до сотых, то есть п=3,14.
Тогда, если d=32 дм, то длина окружности
C=3,14•32=100,48 дм.
Если d=5,6 см, то длина окружности
C=3,14•5,6=17,584 см.
Если d=30,5 мм, то длина окружности
C=3,14•30,5=95,77=95,77 мм.

*Цитирирование задания со ссылкой на учебник производится исключительно в учебных целях для лучшего понимания разбора решения задания.
*К сожалению, временные проблемы с публикацией комментариев с мобильных устройств.