🔥ГДЗ под запретом?

Упр.3.162 ГДЗ Виленкин Жохов 6 класс Часть 1, Просвещение (Математика)

Решение #1 (Учебник 2023)

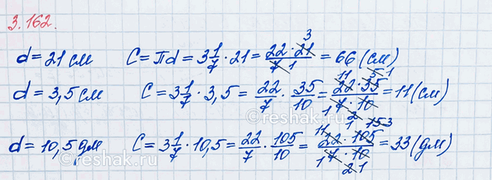
Изображение Найдите длину окружности, если её диаметр равен 21 см; 3,5 см; 10,5 дм. Число п считайте равным 3 1/7.Окружность – это замкнутая кривая, которая состоит из всех...

Решение #2 (Учебник 2023)

Изображение Найдите длину окружности, если её диаметр равен 21 см; 3,5 см; 10,5 дм. Число п считайте равным 3 1/7.Окружность – это замкнутая кривая, которая состоит из всех...

Решение #3 (Учебник 2023)

Изображение Найдите длину окружности, если её диаметр равен 21 см; 3,5 см; 10,5 дм. Число п считайте равным 3 1/7.Окружность – это замкнутая кривая, которая состоит из всех...

Рассмотрим вариант решения задания из учебника Виленкин, Жохов, Чесноков 6 класс, Просвещение:
Найдите длину окружности, если её диаметр равен 21 см; 3,5 см; 10,5 дм. Число п считайте равным 3 1/7.
Окружность – это замкнутая кривая, которая состоит из всех точек на плоскости, равноудалённых от заданной точки.
Заданная точка является центром окружности.
Диаметр – это отрезок, проходящий через центр окружности и соединяющий две точки окружности.
Длина окружности равна произведению числа п на диаметр окружности, то есть C=пd
По условию, число п=3 1/7 .
Тогда, если d=21 см, то длина окружности
C=3 1/7•21=22/7•21=(22•21)/7=(22•3•7)/7=66/1=66 см.
Если d=3,5 см, то длина окружности
C=3 1/7•3,5=3 1/7•3 5/10=22/7•35/10=(22•35)/(7•10)=(2•11•7•5)/(7•2•5)=11/1=11 см.
Если d=10,5 дм, то длина окружности
C=3 1/7•10,5=3 1/7•10 5/10=22/7•105/10=(22•105)/(7•10)=(2•11•3•5•7)/(7•2•5)=33/1=33 дм.

*Цитирирование задания со ссылкой на учебник производится исключительно в учебных целях для лучшего понимания разбора решения задания.
*К сожалению, временные проблемы с публикацией комментариев с мобильных устройств.