Упр.3.122 ГДЗ Дорофеев Суворова 9 класс (Алгебра)
Решение #1

Рассмотрим вариант решения задания из учебника Дорофеев, Суворова, Бунимович 9 класс, Просвещение:
а) x^2 + y^2 = 25 и x^2 - y^2 = 7;
б) xy - y = 1 и xy + x = 4;
в) xy + x^2 = 1 и xy - x^2 = 1/2;
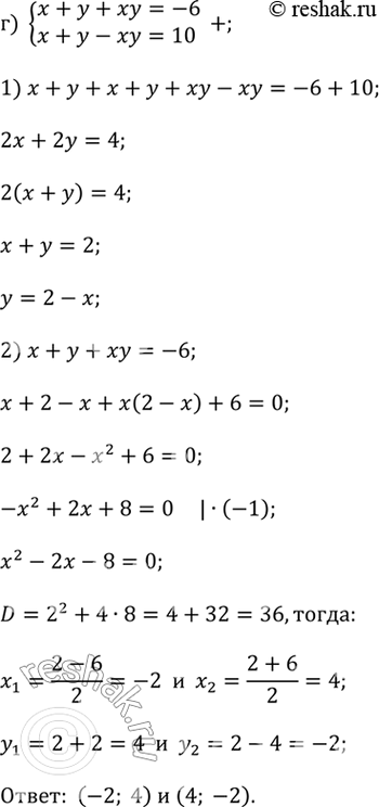
г) x + y + xy = -6 и x + y - xy = 10.
Указание. Воспользуйтесь методом сложения.
Популярные решебники 9 класс Все решебники
*К сожалению, временные проблемы с публикацией комментариев с мобильных устройств.