Упр.3.116 ГДЗ Дорофеев Суворова 9 класс (Алгебра)
Решение #1

Рассмотрим вариант решения задания из учебника Дорофеев, Суворова, Бунимович 9 класс, Просвещение:
Решите систему равнений, воспользовавшись в качестве образца примером 4:
а) xy = -4 и x^2 + y^2 = 8;
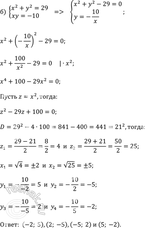
б) x^2 + y^2 = 29 и xy = -10.
Популярные решебники 9 класс Все решебники
*К сожалению, временные проблемы с публикацией комментариев с мобильных устройств.