Упр.3.118 ГДЗ Дорофеев Суворова 9 класс (Алгебра)
Решение #1

Рассмотрим вариант решения задания из учебника Дорофеев, Суворова, Бунимович 9 класс, Просвещение:
1) Разберите начало решения системы уравнений
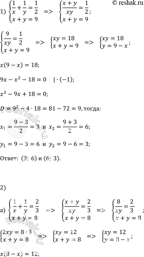
1/x + 1/y = 1/2 и x + y = 9.
Решение.
Представим левую часть первого уравнения в виде дроби:
(x + y)/xy = 1/2 и x + y = 9;
подставим в первое уравнение системы значение х + у:
9/xy = 1/2 и x + y = 9;
преобразуем первое уравнение с помощью основного свойства пропорции:
xy = 18 и x + y = 9.
Далее воспользуемся способом подстановки.
Доведите решение системы до конца.
2) Решите систему уравнений:
а) 1/x + 1/y = 2/3 и x + y = 8;
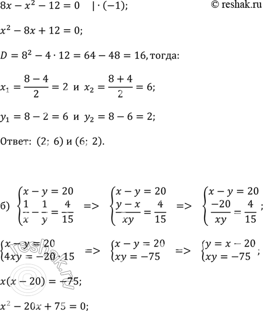
б) x - y = 20 и 1/x - 1/y = 4/15;
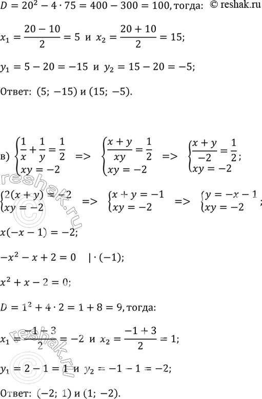
в) 1/x + 1/y = 1/2 и xy = -2.
Популярные решебники 9 класс Все решебники
*К сожалению, временные проблемы с публикацией комментариев с мобильных устройств.