Упр.29.9 ГДЗ Мордкович Семенов 11 класс (Алгебра)
Решение #1 (Учебник 2025)
Решение #2 (Учебник 2022)

Рассмотрим вариант решения задания из учебника Мордкович, Семенов, Александрова 11 класс, Просвещение:
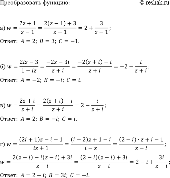
Дробно-линейную функцию w = (az + b) / (cz + d) преобразуйте к виду w = A + B / (z + C); в ответе укажите значения A, B, C, если:
а) w = (2z + 1) / (z - 1); в) w = (2z + i) / (z + i);
б) w = (2iz - 3) / (1 - iz); г) w = ((2i + 1)z - i - 1) / (iz + 1).
Решите систему уравнений:
а) {v((x-y)/(3y))+v((5x)/(x+y))=3, 17v((x-y)/(3y))-8v((5x)/(x+y))=1};
б) {v((y-x)/(2x))-v(x/(x+y))=1/2, 16v(x/(x+y))-7v((y-x)/(2x))=1}.
Похожие решебники
Популярные решебники 11 класс Все решебники
*К сожалению, временные проблемы с публикацией комментариев с мобильных устройств.