Упр.29.11 ГДЗ Мордкович Семенов 11 класс (Алгебра)
Решение #1

Рассмотрим вариант решения задания из учебника Мордкович, Семенов, Александрова 11 класс, Просвещение:
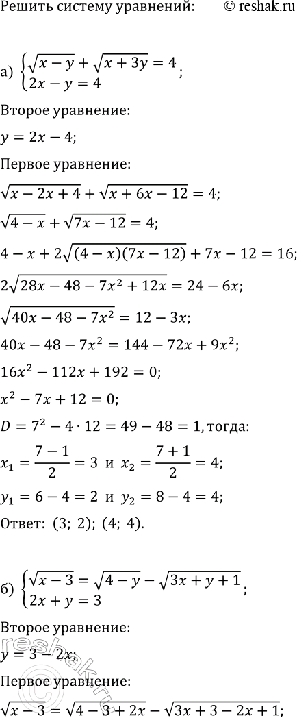
29.11. Решите систему уравнений:
а) {v(x-y)+v(x+3y)=4, 2x-y=4};
б) {v(x-3)=v(4-y)-v(3x+y+1), 2x+y=3};
в) {v(2x+y)+v(6x-3y)=2, 6x+2y=10};
г) {v(4x-7)=v(-1-x-y)-v(2x+y), 3x+y=2}.
Похожие решебники
Популярные решебники 11 класс Все решебники
*размещая тексты в комментариях ниже, вы автоматически соглашаетесь с пользовательским соглашением