Упр.29.7 ГДЗ Мордкович Семенов 11 класс (Алгебра)
Решение #1 (Учебник 2025)
Решение #2 (Учебник 2022)

Рассмотрим вариант решения задания из учебника Мордкович, Семенов, Александрова 11 класс, Просвещение:
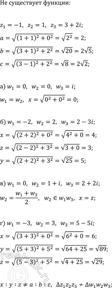
Докажите, что не существует линейной функции w = kz + m, которая переводила бы три комплексных числа z_1 = -1, z_2 = 1, z_3 = 3 + 2i соответственно в числа:
а) w_1 = 0, w_2 = 0, w_3 = i;
б) w_1 = -2, w_2 = 2, w_3 = 2 - 3i;
в) w_1 = 0, w_2 = 1 + i, w_3 = 2 + 2i;
г) w_1 = -3, w_2 = 3, w_3 = 5 - 5i.
Решите систему уравнений:
а) {2^(2x-3y)·2^(4y-x)=16, log_3(x)+log_3(y)=1};
б) {(1/3)^(2x)·3^(y-1)=1/81, log_2(2x)-log_2(y)=2};
в) {3^(3x-1)·3^(y-2x)=27, log_3(x)+log_3(y)=1};
г) {4^x·(1/v2)^(2-2y)=log_(5^(1/4))(5), log_4(y)-log_4(x)=1}.
Похожие решебники
Популярные решебники 11 класс Все решебники
*К сожалению, временные проблемы с публикацией комментариев с мобильных устройств.