Упр.29.15 ГДЗ Мордкович Семенов 11 класс (Алгебра)
Решение #1

Рассмотрим вариант решения задания из учебника Мордкович, Семенов, Александрова 11 класс, Просвещение:
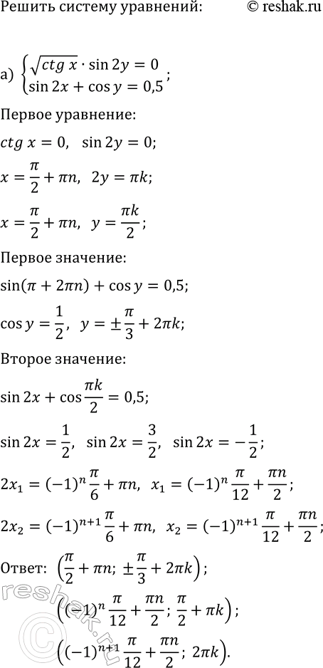
29.15. Решите систему уравнений:
а) {vctg(x)·sin(2y)=0, sin(2x)+cos(y)=0,5};
б) {vcos(x)·tg(2y)=0, sin^2(y)-cos(2x)=1,5}.
Похожие решебники
Популярные решебники 11 класс Все решебники
*размещая тексты в комментариях ниже, вы автоматически соглашаетесь с пользовательским соглашением